广西公布普通高校招生专项计划批最低投档分数线

 火... [复制链接]
综合看点 发表于 2023-7-13 15:16:19 | 显示全部楼层 |阅读模式

马上注册,让你轻松玩转百色看点。

您需要 登录 才可以下载或查看,没有账号?立即注册

×
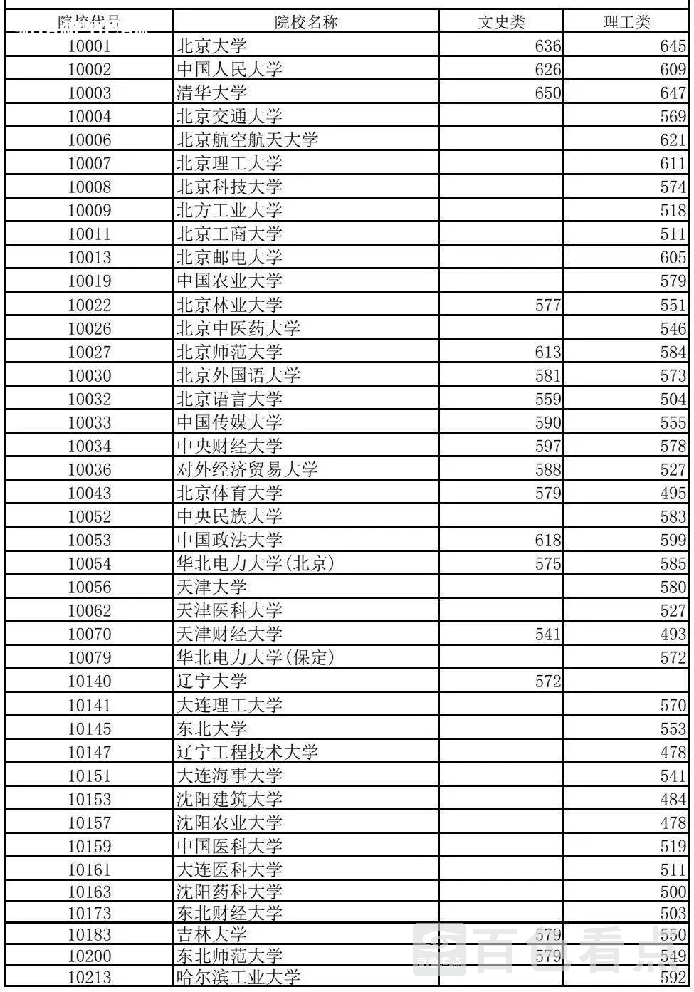
7月13日,广西招生考试院公布2023年普通高校招生专项计划批最低投档分数线。详情如下:
微信图片_20230713151818.webp
微信图片_20230713151828.png
微信图片_20230713151838.png
微信图片_20230713151846.png

说明:表中空白处表示无相应科类招生计划或无出档考生。

来源:柳园清风




上一篇:首次披露!一地省公安厅副厅长被指容留他人吸毒
下一篇:官方发布公告!8月1日起,实施→
这里很好玩
回复

使用道具 举报

如画_姑娘 发表于 2023-7-13 15:19:01 百色看点手机版 | 显示全部楼层
转发了
这里很好玩
回复 点赞 差评

使用道具 举报

AA小赵 发表于 2023-7-13 20:12:01 百色看点手机版 | 显示全部楼层
转发了
这里很好玩
回复 点赞 差评

使用道具 举报

胡大大 发表于 2023-7-14 05:43:16 百色看点手机版 | 显示全部楼层
转发了
这里很好玩
回复 点赞 差评

使用道具 举报

再见百色 发表于 2023-7-14 10:17:03 百色看点手机版 | 显示全部楼层
转发了
这里很好玩
回复 点赞 差评

使用道具 举报

分享了
这里很好玩
回复 点赞 差评

使用道具 举报

为何如此 发表于 2023-7-14 18:12:23 百色看点手机版 | 显示全部楼层
转发了
这里很好玩
回复 点赞 差评

使用道具 举报

黄大鼠 发表于 2023-7-14 21:31:53 百色看点手机版 | 显示全部楼层
转发了
这里很好玩
回复 点赞 差评

使用道具 举报

转发了
这里很好玩
回复 点赞 差评

使用道具 举报

转发了
这里很好玩
回复 点赞 差评

使用道具 举报

您需要登录后才可以回帖 登录 | 立即注册

本版积分规则

本网站所刊载信息,不代表百色看点观点。 刊用本网站稿件,务经书面授权。
未经授权禁止转载、摘编、复制及建立镜像,违者将依法追究法律责任。
[网上传播视听节目许可证(0106214)] [桂ICP备18000946号-9] [APP备案:桂ICP备18000946号-5A]
违法和不良信息举报电话:17777605188 举报邮箱:253702645@qq.com 营业执照亮照 总机:0776-2998288
Copyright ©2024 百色看点 Powered by 百色圈视科技 劰载中...|网站地图|桂公网安备 45100202000274号

顶部